Javaに対応したブラウザが必要です

1.波動とは?

 空間のある点(波源)における振動の様子が、次々と回りの空間に伝わっていく現象波動またはと言う。そして、水面波における水のように、波を伝えるものを媒質という。 また、水面波の水平面からの盛り上がり、あるいは窪みの大きさを波の変位といい、ある時刻での媒質の各点の変位を連ねた曲線を波形という。波形において、最大に盛り上がった所を波の、最大に窪んだ所を波のと呼ぶ。

 波が媒質中を伝わるとき、波形が移動し、波の山と谷もそれに伴って移動するが、これは媒質が移動する訳けではない。媒質自身はその平衡点の回りで単に振動をくり返すだけである。

縦波と横波

波が媒質を伝わるとき、変位が波の進行方向と平行な波を縦波といい、変位が進行方向と垂直な波を横波という。

ばねを前後に振動させると、ばねの疎密(変位)の状態が、ばねを伝わっていくが、これが縦波である。縦波のことを疎密波ともいう。

 また水面波の場合、変位(水面の盛り上がりや窪み)は進行方向と垂直に起こるので、水面波は横波である(正しくは、水面波では媒質は円運動して横波とは言えないが、横波のイメージを描くには十分である)。
気体中では膨張と圧縮による疎密の状態は縦波として伝わることができるが、個々の原子や分子が互いに力を及ぼし合わない気体中では、変位が進行方向に起こる横波は伝わらない。

波の性質を表す量 

波の運動では媒質が周期的な運動をする。媒質のある点が1回振動する時間Tを周期と言い、その逆数1/Tを振動数あるいは周波数という。振動数あるいは周波数の単位はHz(=1/s:ヘルツ)である。

 1周期の間に波原から送り出される波の長さを波長という。これはまた、波の山(谷)から山(谷)までの距離に等しい。
 波の周期的な振動において、その最大変位を振幅という。

波の基本式(分散関係)

  媒質が毎秒f回振動すると波長λの波は1秒間にfλ進む。従って、波の速さv、振動数fおよび波長λの間には
 v=fλ : 分散関係
の関係が成り立つ。通常の波動は同一媒質中では、その振動数に関係なく速度は一定であるが、振動数により速度が異なる場合がある。このような場合を分散という。分散を生じるような媒質を分散性の媒質という。

2.波の方程式

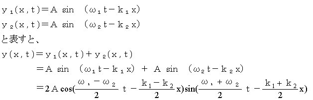
波源O(x=0)が角振動数ωで単振動をしていて、そこからの波がx軸の正の向きに速さvで伝わる場合を考える。

時刻tにおける波源Oでの変位が

で表されるとき、この振動がxだけ離れた場所Pに到達するにはx/νだけの時間がかかる。従って、P点では波源より常に時間がだけ遅れて、波源と同じ振動が起こる。このため波源からxだけ離れた場所Pでの、時刻tにおける変位y(x,t)は、時刻tよりもx/vだけ前の時刻(t−x/ν)での波源の変位に等しい。すなわち、

である。これはまた、

と表される。この式を正弦波の方程式という。正弦波の方程式において、Aは振幅、 Tは周期、λは波長である。また、

の部分を波の位相という。波の山のところでの位相はπ/2であり、波の谷では位相は−π/2である。さらに、x=0、t=0における位相δを初期位相といい、この場合、位相を表す式は

となる。そして、波の位相の等しい点を連ねた曲線(曲面)や直線(平面)を波面という。時間とともに波面は移動するが、その進行方向は波面に垂直である。

平面波と球面波

波面が平面であるような波を平面波といい、波面が球面であるような波を球面波という。

一点の波源から放射状に出ていく波は球面波となるが、波源から十分離れた所で球面波を観測するとその一部分は平面波と見なすことができる。

3.波動方程式

 正弦波の一般式は

で与えられる。ここで、A、T、λおよびδはそれぞれ、振幅、周期、波長、初期位相である。上式はまた、振動数fと波数k(=2π/λ)を用いて、
y(x,t)=A sin (2πft−kx+δ)
と書き表わされる。さらに、角振動数ω(=2πf)を用いると、
y(x,t)=A sin (ωt−kx+δ)
と表すこともできる。このように、正弦波の一般式はさまざまな表し方ができる。
さらにまた、コサイン波は

であるから、位相がπ/2だけ異なった正弦波(サイン波)と見なすことができる。
 これまで、x軸を伝わる一次元の波を考えてきたが、次に、空間を伝わる平面波について考える。波の伝わる方向にξ軸をとれば、
y(ξ,t)=A sin (ωt−kξ+δ)
である。また、波の伝わる方向の単位ベクトルをs(sx ,sy ,sz)とすると、位置(=x+y+z)における変位y(r,t)は、ξ==xsx+ysy+zszより、

y(r,t)=A sin (ωt−k+δ)

である。ここで、k波数ベクトルといい、波の伝わる方向を向いている。波数ベクトルを用いると、空間を伝わる平面波は、
y(r,t)=A sin (ωt−+δ)
と、表される。
 一般に波はf(ωt−)の式で与えられるが、これは波動方程式と呼ばれる偏微分方程式

を満足する。ここで、

である。

波の図示

 波はその変位y(x,t)が位置xと時間tの二つの変数で表される関数であるが、波を観測する場合、位置を固定してその場における変位の時間変化を観測する場合と、ある時刻における各点での変位を観測する場合とが考えられる。
前者の場合はx=一定で、その時間的変化はy(定数,t)で表される。横軸に時間t、縦軸にある位置における各時刻での変位を図示すると、波の山(谷)から山(谷)の区間が周期である。
 また後者の場合は、t=一定であり、その位置的変化はy(x,定数)で表され、これは波のある時刻における波形を表す。従って、横軸に位置x、縦軸にある時刻における各点での変位を図示すると、波の山(谷)から山(谷)の区間が波長である。

波の複素表示

正弦波は、オイラーの公式

を用いて、複素数の世界では、

と表すことができる。上式で、実部と虚部が共に現実の正弦波を表している。式において、

複素振幅という。波の複素数表示は波動における計算を容易にする。

4.波の性質 

互いに逆向きに進んできた波が出会うとき、波は互いに影響を受けることなく、相手をすり抜けて進んでいく。波のこのような性質を波の独立性という。一方、二つの波が重なり合っている間は波は複雑な変化をしているが、それはそれぞれの波の波形を足し合わせた波形になっている。すなわち、二つの波が重なり合うところでは、媒質の変位は、それぞれの波による変位の和に等しい。波のこのような性質を波の重ね合わせの原理という。

これは、波1による変位がy1,波2による変位がy2のとき、二つの波1と2が重なり合った所での変位yはy=y1+y2 となるということである。
二つ以上の波が重なり合ってできる波を合成波という。

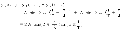
定常波

 互いに逆向きに進む振幅・周期・波長の等しい2つの波の重ね合わせについて考えよう。x軸を正の向きに伝わる波をy1、負の向きに伝わる波をy2とする。これらの波はそれぞれ、

と表される。そして、これらの波が重なり合ったときの合成波y(x,t)は、波の重ね合わせの原理より

となる。これは合成波において、波源から距離xにおける点が振幅

の単振動をすることを示している。

の地点では振動の振幅は2Aとなり最も大きく振動する。一方、

の地点での振動の振幅は0である。最も大きく振動する部分を波の、全く振動しない部分を波のという。

 さらにこの波は、時間が経ってもその波形が移動しない波で、このような波は定常波とよばれ、媒質の各点は同位相で振動している。また、波形が時間と共に移動する波は進行波とよばれる。

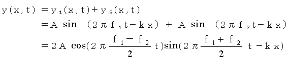
うなり(beat)

次に、振動数のわずかに異なる二つの波の重ね合わせについて考えよう。ある位置においてこれらの波の合成波を観測すると、ある時刻では二つの波の山同士が重なり合って強め合うが、しばらく経つと互いの波の位相がずれて今度は二つの波の山と谷が重なり合って、打ち消し合う。このように時間と共に波の強め合いと打ち消し合いが交互にゆっくりと起こ現象をうなりという

ここでは二つの波の振幅、波長は等しいものとし、それぞれ振動数をf1、f2とすると、
y1(x,t)=A sin (2πf1t−kx)
y2(x,t)=A sin (2πf2t−kx)
と表される。ここで、kは波の波数と呼ばれるもので2π/λである。従って、合成波yは

ここで、f1とf2との差はわずかなので、

とおくと、合成波を表す式は
y(x,t)=2A cos(2πΔft)sin(2πft−kx)
となる。これは振幅が時間と共に周期 1/2Δfでゆっくりと変化する波を表している。
うなりの回数は二つの波の振動数の差に等しく、毎秒|f1-f2| (=2Δf)回である

フーリエ合成

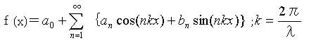
振動数あるいは波長の異なる無数の正弦波を重ね合わせることにより、様々な波形の波を作ることができる。これをフーリエ合成という。すなわち、波長λの波のある時刻における波形をf(x)とすると、f(x)は様々な波長の波の重ね合わせとして、

と表すことができる。ここで右辺を波形f(x)のフーリエ級数という。a0,an,bnの値を変えることにより様々な波形の波を作ることができる。たとえば、波長λ,λ/2,λ/3・・・・・・λ/nの正弦波を振幅比1,1/2,1/3,1/4・・・で重ね合わせると、矩形波となる。重ね合わせる波の振幅 a0,an,bnを波形f(x)のフーリエ成分という。

位相速度と群速度

振動数f、波長λの正弦波において、その速度vはv=fλであるが、これは単一な正弦波の波形が移動する速さ で、位相速度とよばれる。

正弦波

における山の位相は

であるから、両辺を時間tで微分すると、
dx/dt=v=λ/T=fλ
が得られる。すなわち、位相が一定の波面(等位相面)が移動する速さが位相速度である。
 次に、振動数と波長がわずかに異なる二つの波を重ね合わせたときの合成波の速度について考えよう。それぞれの波を

である。これは基本的にはうなりの場合と同じく、長い周期の波形の中に非常に短い周期の波が含まれた形になっている。合成波の波形は時間と共にその波形を徐々に変えながら移動していくが、このとき、合成波の速度を群速度という。群速度vgはω1−ω2=Δω、k1−k2=Δkとすると、vg=Δω/Δkである。これは分散性の媒質中を波長がわずかに異なる二つ以上の波が重なり合って移動するときおこる現象である。

波の干渉
 二つの波が重なり合うとき、波の山と山、あるいは谷と谷が重なり合うと波は強め合う。一方、波の山と谷が重なり合うと波は打ち消し合う。このように、波が重なり合うとき、強め合ったり打ち消し合ったりする現象を波の干渉 という

 水面上の二つの波源から水面波を発生させると、水面上では水面が大きく振動する場所と、水面がほとんど振動しない場所とが見られるが、これは二つの波源から出た水面波が干渉するためである。二つの波源からの距離の差が波長の整数倍の地点では、常に波の山と山、あるいは谷と谷が出会うので波の強め合いが起こる。一方、二つの波源からの距離の差が波長の整数倍と波長の半分の地点では波の山と谷が出会うので波の打ち消し合いが起こる。

波の回折
 平面波がわずかな隙間を通り抜けた後広がりながら進む現象や、波が小さな物体の裏側まで回り込む現象回折という。回折の現象は隙間や物体のおおきさが波の波長に比べて小さくなると顕著になる

5.ホイヘンスの原理

波面がある速さで進むとき、ある瞬間における波面上の各点が、新しい波源となってそこから素元波(二次波)が生じる
これらの素元波の包絡面(全ての曲線に接する面)が次の瞬間の波面となる
このような観点から波の性質や法則を説明しようとするのがホイヘンスの原理である。

(1) 波の直進性→平面波の各点からの二次波の包絡面はやはり平面となり、直進する。
2) 波の回折 →狭い隙間からの二次波の包絡面は曲面となり、波は広がって進む。
衝立の端での二次波の包絡面も曲面となり、波が衝立の内側に回り込む。

波の反射・屈折

 波が異なる媒質の界面に入射すると、界面では波の反射屈折が起こる。界面に垂直な線(法線)からの入射波の角度iを入射角、反射波の角度rを反射角そして法線を延長した線からの、屈折した透過波との角度χを屈折角という。

波が界面で反射するとき、入射角と反射角は等しい。これを反射の法則という。また、媒質1、2での波の速さをそれぞれv1、v2とすると、媒質1から媒質2に波が入射する場合、入射角iと屈折角χの間には、
sini/sinχ=v1/v2
の関係が成り立つ。これを屈折の法則という。また、v1/v2を媒質2の媒質1に対する相対屈折率という。また、屈折の法則はスネルの法則ともよばれる。

ホイヘンスの原理による反射・屈折の法則の説明 

 波が媒質1から媒質2の界面に入射すると、その界面では新たに素元波が生じる。このとき、媒質1側へ広がる素元波(反射波)は媒質1を伝わる入射波と同じ速さである。一方、媒質2側へ広がる素元波(屈折波)は媒質が異なるためその速さは異なる。そこで媒質1での波の速さをv1、媒質2での波の速さをv2とする。

 平面波の一端が界面に斜めに到達すると、そこを波源として媒質1側には速さv1、媒質2側には速さv2の素元波が広がる。そしてその波源は時間と共に界面上を移動していく。そして次々に素元波が広がり、平面波の最後の一端が界面に入射したときは、界面からの素元波はそれぞれ半径の異なる円群となる。これらの円群の包絡面(平面)がそれぞれ反射波および屈折波となる
 平面波が斜めに入射すると、界面AB上の各点からは、A点から順に次々と素元波が発生していく。B点から素元波が発生する時刻tには、A点からの素元波の半径はv1・tである。従って、B点から、このA点からの素元波に引いた接線が反射波の波面である。このことから、波の反射の法則が説明できる。
波の屈折の場合も反射の場合と同様に、界面AB上の媒質の各点は、その点に入射波が到着するとA点から順に次々と素元波を出す。A点から素元波が発生する時刻を0とし、B点から素元波が発生する時刻をtとすると、時刻tにはA点から素元波の半径はv2・tである。従って、B点から、半径v2・tのA点からの素元波に引いた接線が屈折波の波面である。この場合、屈折波の方向は入射波の方向とは平行にはならず、折れ曲がる(屈折)。しかも、入射角をi、屈折角をχとすると、sini/sinχ=v1/v2 となり、屈折の法則が説明される。